IES配光报告(Photometric Test Report)是照明行业中评估灯具光学性能的核心技术文档,它通过标准化的测试方法和数据呈现形式,全面记录了灯具的光度学特性。这份报告不仅为照明设计师提供关键的设计依据,也是产品性能验证和质量控制的重要文件。本文将系统解读IES标准配光报告的各个部分,帮助读者理解每页报告的内容及其工程意义。
封面与基本信息页
IES配光报告的开头部分通常包含灯具的基本标识信息和测试条件概要。这部分虽然看似简单,却提供了理解后续数据的必要背景。
测试报告的首部会注明测试所遵循的标准(如IESNA LM-63或CIE相关标准),这是评估报告权威性和适用性的首要依据。标准信息确保了测试方法和数据格式的规范性,使不同实验室的报告具有可比性。紧接着是灯具的型号、制造商等基本信息,这些标识信息对于产品追溯和型号确认至关重要。
电气参数部分记录了测试时的实际工作条件,包括电压(V)、电流(A)、功率(W)、功率因数(PF)和频率(Hz)。这些数据不仅验证了测试条件的合规性(是否在额定工作范围内),也为后续的能效计算提供了基础。例如,结合光通量数据和功率测量,可以计算出灯具的实际光效(lm/W)。
测试环境参数如温度(℃)、湿度(%)和测试距离(m)同样不可忽视。光度学测量对环境条件敏感,标准条件下(通常25℃)的测试结果才能保证可比性。测试距离关系到光度测量的几何条件,而备注栏可能包含特殊的测试安排或条件说明,是解读数据时需要考虑的背景因素。
光度学数据总览页
光度学数据总览页是报告的核心部分之一,它汇总了灯具的关键光学特性参数,为快速评估产品性能提供了便利。
光通量数据是此部分的重点,包括总光通量(Total Flux,单位:流明lm)和可能的光源光通量(Lamp Flux)。这两个数据的比值反映了灯具的光输出效率(LOR,Light Output Ratio)。值得注意的是,报告中可能出现"784.576x1 lm"这样的表示,乘数表示灯具内光源的数量,这对于多光源系统尤为重要。
光强分布特性通过多个参数描述:最大光强(Imax)及其方向、光束角(Beam Angle,通常以50%最大光强为界)和场角(Field Angle,通常以10%最大光强为界)。例如"Average Beam Angle(50%):153.2 DEG"表示该灯具具有宽光束特性。光强分布的非对称性则通过不同切面的光束角差异来体现。
上射光通比(η↑)和下射光通比(η↓)描述了光通量的空间分布,对于评估灯具的方向性特别重要。80%的下射光通比表明这是一款主要用于向下照明的灯具。CIE分类(如"Semi-Direct")则提供了基于上射/下射光通比的标准分类信息。
利用系数数据包括S/MH比值(Spacing to Mounting Height Ratio),这是照明设计中间距计算的关键参数。报告中给出的S/MH值(如1.42)指导设计师确定灯具的最佳安装间距,以实现均匀照明。
区域光通量图表页
区域光通量图表(Zonal Flux Diagram)将光通量按空间区域进行分解,提供了光分布特性的量化描述。这部分数据对于理解灯具的光分布模式特别有价值。
图表通常按5°或10°的垂直角度区间(γ)划分,列出每个环带内的光通量及其占总光通量的百分比。这种分区统计可以清晰显示光通量在不同垂直角度上的分布情况。例如,数据可能显示大部分光通量集中在0-40°范围内,表明这是一款强调下方照明的灯具。
圆锥表面光通量是另一个重要概念,如"Conical surface Flux(90deg): 247.08 lm"表示在90°圆锥内包含的光通量。这种表示方法特别适用于评估筒灯、射灯等有明确光束角的灯具。百分比表示(如31.5%)则提供了直观的相对分布信息。
光通量累积曲线展示了从中心向外累计的光通量比例,这是评估光束集中程度的有力工具。例如,90%的光通量集中在100°以内,表明这是一款中等宽光束的灯具。设计师可以利用这些数据预测照明场景中的直接照射效果。
亮度限制曲线页
亮度限制曲线(Luminance Limitation Curves)是评估灯具眩光特性的重要工具,尤其与CIE眩光限制标准直接相关。
这部分首先会标明灯具的眩光等级(如CLASS A-E),这是根据灯具在不同应用场景下的亮度限制确定的。等级信息指导设计师选择适合特定环境的灯具类型,例如办公室照明通常要求CLASS B或更高标准。
亮度数据表按不同垂直角度(通常从45°到90°)列出灯具的实测亮度值(单位:cd/m²)。这些数据与CIE的眩光限制曲线对比,可以验证灯具是否符合相应标准。例如,85°角度的高亮度值可能造成不舒适眩光,需要特别注意。
眩光评估参数如遮光角(Shielding Angle)也是此部分的重点。遮光角定义了观察者看不到直接光源的最小角度,是控制直接眩光的关键设计参数。报告中可能提供不同方向(如C0/180和C90/270平面)的遮光角数据,以全面评估眩光特性。
利用系数与灯具预算图表页
利用系数(Coefficients of Utilization,CU)和灯具预算图表(Luminaire Budgetary Diagram)是将光度数据转化为实际设计工具的关键部分。
利用系数表按照不同的房间指数(Room Index,与房间几何形状相关)和表面反射比(顶棚、墙面、地板)组合,提供了对应的利用系数值。这个系数表示到达工作平面的光通量与灯具总光通量的比值,是照明计算的基础。表格通常按反射比组合(如顶棚70%/墙面50%/地板20%)和房间指数(如0.5-5)排列,设计师可根据实际条件选择最接近的数值。
灯具预算图表则将利用系数转化为实际设计参数,通常基于假设条件(如工作平面照度100lx)计算所需的灯具数量或间距。这部分可能包含不同反射比条件下的设计曲线,帮助设计师快速估算照明方案的基本参数。
统一眩光等级(UGR)表页
统一眩光等级(Unified Glare Rating,UGR)表提供了灯具在不同安装条件下的眩光评估,这是现代照明设计特别是办公环境中不可或缺的参考。
UGR表的核心是一个多维矩阵,根据观察者位置(通常表示为与灯具高度的倍数关系,如x=2H,y=2H)和房间表面反射比(顶棚、墙面、工作平面)组合,给出对应的UGR值。这个标准化眩光评估系统范围通常在10-30之间,数值越低表示眩光控制越好。例如,办公室通常要求UGR<19。
观察者位置变化对UGR值的影响也是此部分的重点。报告可能显示UGR值随着观察者与灯具相对位置的变化规律,这有助于设计师优化灯具布局以避免高眩光区域。注释部分通常会说明计算所依据的标准(如CIE Pub.117)和假设条件,这是正确理解数据的前提。
壁面与顶棚出射系数页
壁面出射系数(Wall Exitance Coefficients,WEC)和顶棚出射系数(Ceiling Cavity Exitance Coefficients,CCEC)表提供了光通量在室内表面之间多次反射的量化数据,这对精确计算室内照度分布非常重要。
WEC表格按照不同的空腔比(Room Cavity Ratio,RCR)和表面反射比组合,列出了到达墙面的光通量比例。这些数据用于计算墙面亮度,进而评估间接照明效果和空间视觉舒适度。类似地,CCEC表格则聚焦于顶棚区域的光分布。
反射分量分析是理解这部分数据的关键。灯具的光分布特性(直接、间接比例)与房间几何形状(RCR)共同决定了这些系数的大小。设计师可以利用这些系数更准确地预测室内各表面的实际照度和亮度分布,而不仅仅是工作平面照度。
等光强曲线图页
等光强曲线图(Isocandela Diagram)通过极坐标或直角坐标形式直观展示了灯具的三维光强分布,这是理解灯具光束形状最直接的视觉工具。
图表通常显示一个或多个切面(如C0-C180和C90-C270平面)的光强分布曲线,以坎德拉(cd)为单位。曲线形状揭示了光束的宽窄、对称性和有无特殊截止特性。例如,蝙蝠翼形分布适合大面积均匀照明,而窄光束则适合重点照明。
光强分布参数如最大光强值、光束角度和对称性指标也常在此部分注明。这些数据不仅用于照明设计,也是产品质量控制的重要指标。不同切面曲线的比较可以揭示灯具的方向性特性,这对道路照明或不对称分布灯具尤为重要。
等照度曲线图页
等照度曲线图(Isolux Diagram)将光强数据转化为实际照度分布,模拟了灯具在特定安装高度下的地面或工作面照度情况。
图表通常以灯具正下方为原点,显示照度(lx)随水平距离变化的等高线。这种表示方法直观展示了照明覆盖范围和均匀性。例如,一个紧密的等高线表示照度快速衰减,适合重点照明;而平缓变化的等高线则适合环境照明。
安装高度信息是解读这部分数据的关键。报告中会明确说明计算所基于的假设安装高度(如10m),设计师需要根据实际安装高度进行比例换算。部分报告还可能提供不同高度下的照度数据表,便于多方案比较。
平均亮度与平面照度曲线页
平均亮度(Avg.L)数据和平面照度曲线(Planar Illuminance Curve)提供了对灯具性能更深入的评估维度,特别关注视觉舒适度和实际照明效果。
平均亮度表列出了不同角度范围(如65°、75°、85°)和方向(如0-180°、90-270°)的平均亮度值(cd/m²)。这些数据直接关系到眩光评估,特别是对于LED灯具,大角度亮度控制尤为重要。高亮度值在这些关键角度可能预示着潜在的眩光问题。
平面照度曲线则展示了沿特定方向(通常是灯具的主光轴方向)的照度分布。这种一维表示虽然不如等照度图全面,但能更精确地显示照度衰减规律。曲线形状反映了灯具的光学设计特点,如对称性、有无二次反射等。
光强分布数据表页
光强分布数据表(Luminous Distribution Intensity Data)是报告中最详尽的原始数据部分,为专业照明设计软件提供精确输入。
数据表通常按5°或1°间隔列出所有测量方向的光强值(cd),覆盖全空间(C0-360°,γ0-180°)。这种高分辨率数据是生成其他图表和进行专业照明计算的基础。例如,道路照明设计需要精确的横向和纵向光强分布,这些细节都体现在此表中。
数据完整性是评估此部分质量的关键。完整的光强分布应包括足够的角度分辨率(至少C平面每30°,γ平面每5°)和所有重要方向的数据。缺少关键角度或分辨率不足会影响照明计算的准确性,特别是在需要精确控制光分布的场合。
结论:IES报告的综合应用
理解IES配光报告的各个部分后,照明专业人员可以全面评估灯具的光学性能,并做出科学的设计决策。在实际应用中,需要交叉参考报告中的不同部分,形成对灯具性能的完整认识。
例如,评估一款办公灯具时,需同时考虑其光效(封面页)、光分布(区域光通量页)、眩光控制(UGR表)和利用系数,才能确定其是否适合目标空间。同样,道路灯具的评估则需要重点关注光强分布、等照度图和亮度控制数据。
值得注意的是,IES报告反映的是实验室标准条件下的测试结果,实际应用中还需考虑环境温度、安装条件、老化等因素的影响。此外,随着照明技术的发展,IES标准也在不断更新,保持对最新标准的了解是正确解读报告的前提。
Category Archives: 百科文库
视黑素等效勒克斯(EML)与视黑素等效日光(D65)照度(EDI)定义与计算方法
视黑素等效勒克斯(Equivalent Melanopic Lux, EML)和视黑素等效日光(D65)照度(Melanopic Equivalent Daylight Illuminance, EDI)是用于量化光照对人体生物节律影响的重要指标。以下是对这两个概念的定义及其计算方法的介绍。
视黑素等效勒克斯(EML)
定义: 视黑素等效勒克斯(EML)是指在标准光源E条件下,五种感光细胞对光照的等效照度数值与明视觉照度数值相等的原则下,选择各等效照度的缩放系数,由此获得的非视觉感光细胞ipRGC等效照度数值定义为视黑素等效勒克斯(EML),作为节律照明设计的量化指标。
计算方法: EML的计算公式如下:
![]()
其中:
𝜆为波长数值(单位:纳米,nm),范围为380至780。
𝐸𝑒,𝜆(𝜆)为单位面积光谱功率密度分布数值(单位:瓦每平方米每纳米,W/m²/nm)。
𝑁𝑍(𝜆)为视黑素光谱光视效能函数。
视黑素等效日光(D65)照度(EDI)
定义: 视黑素等效日光(D65)照度(Melanopic EDI)是指由CIE标准光源D65产生相同的视黑素等效照度时,该D65标准光源的照度数值,简称为melanopic EDI,单位为勒克斯(lx)。
计算方法:
![]()
其中:
𝐸𝑀𝐿为视黑素等效勒克斯。
𝛾为常数,数值为0.9063,用于EML数值和melanopic EDI数值的换算系数。
应用
这两个指标在节律照明设计中具有重要意义。通过合理设计光照环境,可以有效调节人体生物钟,改善睡眠质量,提高工作效率。

欢迎咨询:Sattva@ah-snchain.cn
♦ 紫外辐射通量测试应用
♦ 植物生长灯光色测量应用
♦ COB/LED集成排测机应用
♦ CCD光谱辐射分析仪应用
CCD光谱仪测量准确性研究:探测器性能与校准影响
在科学实验和工业应用中,光谱仪被广泛用于测量不同波长光的强度分布。特别是CCD光谱仪,因其高灵敏度、较低噪声、宽动态范围等优势,广泛应用于各种精密测量任务中。本文将详细探讨CCD光谱仪的性能、探测器特性以及校准对测量准确性的影响,帮助理解如何提高CCD光谱仪的测量精度。
1、CCD光谱仪工作原理
CCD(Charge-Coupled Device,电荷耦合器件)光谱仪通过利用光电效应将光信号转换为电信号,从而获得目标光源的光谱信息。CCD探测器是一种基于半导体材料的成像设备,其工作原理是通过照射光子,产生电子对并通过电场将电子传输到预定位置。CCD探测器通过一系列电荷转移机制将这些信息转换成数字信号,进而由计算机进行处理和分析。
在光谱仪中,光源发出的光束通过光学系统(如光栅、透镜等)被色散并投射到CCD探测器上,不同波长的光将会在CCD表面上产生不同位置的光斑。每个光斑对应一个特定波长的光,探测器的每个像素就对应光谱中的一个波长。
2、CCD探测器性能
CCD探测器性能直接影响光谱仪测量结果的准确性。主要性能参数包括灵敏度、分辨率、噪声、动态范围、线性度等。
2.1 灵敏度
灵敏度是指CCD探测器响应光信号的能力,即光信号的强度与探测器输出信号之间的关系。高灵敏度的CCD能够检测到较弱的光信号,这对于进行低强度光源的测量至关重要。CCD的量子效率(Quantum Efficiency, QE)是衡量灵敏度的一个重要指标,通常用来描述探测器在不同波长下的响应程度。量子效率越高,探测器对光信号的转换效率越高,测量结果越精确。
2.2 分辨率
分辨率是指CCD探测器能够分辨的最小光谱波长间隔。在光谱仪中,分辨率通常由光学系统的设计和探测器像素的大小共同决定。较小的像素尺寸可以提供较高的分辨率,但也可能导致信号噪声的增加,因此需要在分辨率和噪声之间找到平衡。
2.3 噪声
噪声是影响CCD探测器精度的重要因素之一。噪声的来源包括读出噪声、暗电流噪声和光电噪声。读出噪声指的是在读取信号时引入的误差,暗电流噪声则是探测器在没有外部光源时产生的电流。光电噪声是由探测器在受到光照时产生的电子随机波动引起的。噪声的增大会导致测量结果的不确定性,从而降低光谱仪的精度。
2.4 动态范围
动态范围是指CCD探测器能够准确测量的最小与最大信号强度之比。一个高动态范围的CCD探测器能够处理从极弱到极强的光信号,避免出现饱和或失真现象。高动态范围对于需要处理强光与弱光信号混合的应用场景至关重要。
2.5 线性度
线性度描述的是CCD探测器输出信号与输入光信号强度之间的关系。理想的CCD探测器应该表现出良好的线性响应,即输入光强度变化时,输出信号的变化呈现线性关系。非线性的响应会导致测量误差,影响测量结果的准确性。
3、校准对测量准确性影响
即使CCD探测器本身性能优秀,校准过程依然是确保光谱仪测量准确性的关键步骤。校准过程是通过与已知标准源的比对,调整仪器的参数,以消除系统误差。常见的校准方法包括波长校准、强度校准和光谱仪响应校准。
3.1 波长校准
波长校准是保证光谱仪测量波长准确性的基础。由于光谱仪的色散系统和CCD探测器的像素位置可能存在微小的误差,初始的波长测量结果可能并不精确。通过使用标准光源(如氖灯、汞灯等)发出的已知波长光谱,可以校准仪器的波长轴,确保测量的波长值与真实值一致。
3.2 强度校准
强度校准确保测量得到的光强值是准确的,通常通过将光谱仪与已知强度的标准光源(如白光标准源)进行比对,校正仪器的响应特性。强度校准可以消除光源的光谱特性、探测器的非线性响应以及其他系统性误差对测量结果的影响。
3.3 光谱响应校准
光谱响应校准是为了提高光谱仪在不同波长范围内的准确性。由于不同波长的光在探测器上的响应可能不同,光谱响应校准可以通过使用标准源的光谱数据与仪器的实际响应进行比较,进一步调整探测器的灵敏度,确保不同波长下的响应一致。
4、误差来源与误差分析
尽管经过校准,光谱仪测量结果仍可能存在误差。主要的误差来源包括:
探测器噪声:由于探测器本身噪声(如暗电流、读出噪声等),测量结果的精度会受到影响。
系统误差:如光学系统色散不完全,或光谱仪的机械结构造成光路误差。
环境因素:温度、湿度、振动等环境因素也可能对测量结果产生影响,特别是在精密测量中,环境的变化会导致探测器的响应发生变化。
5、提高测量准确性的方法
为了提高CCD光谱仪测量准确性,可以采取以下措施:
优化探测器性能:选择具有高量子效率、低噪声和高动态范围的CCD探测器。
定期进行校准:定期对光谱仪进行波长、强度和光谱响应的校准,确保测量结果的准确性。
环境控制:对实验环境进行控制,减少温度、湿度等外界因素的干扰。
数据处理优化:利用先进的信号处理技术,如去噪算法,进一步提高测量精度。
6、结论
CCD光谱仪以其高灵敏度、较低噪声和宽动态范围等特点,成为现代光谱测量中的重要工具。然而,探测器的性能和校准对测量准确性有着决定性的影响。良好的探测器性能和准确的校准方法可以有效提高光谱仪的测量精度,减少误差,为科研和工业应用提供可靠的光谱数据。

欢迎咨询:Sattva@ah-snchain.cn
♦ 紫外辐射通量测试应用
♦ 植物生长灯光色测量应用
♦ COB/LED集成排测机应用
♦ CCD光谱辐射分析仪应用
高铁照明与信号灯标准
高铁作为现代交通系统的重要组成部分,其运营安全和乘客舒适性受到高度重视。高铁照明和信号系统在列车行驶、站台调度、紧急指引等方面具有重要作用。本文将从中国高铁照明与信号灯相关标准出发,结合国际上的通行规范,为读者解读这一领域的重要标准和技术规范。

一、高铁照明与信号灯的作用
高铁的照明系统通常分为车内照明和车外照明两部分。车内照明包括乘客舱的常规照明、阅读灯、紧急照明和夜间模式灯光,为乘客提供舒适、温馨的旅途环境。车外照明主要包括站台、轨道周边以及列车本身的外部灯光,用于夜间列车进出站台、车辆维护以及紧急情况的引导。
高铁信号系统是列车安全运行的关键,包括信号灯、指示灯和控制系统,用于在列车驾驶员、站台人员和调度中心之间建立有效的视觉和信号指示。信号灯在高速行驶过程中为驾驶员提供准确信号信息,确保列车在各种运营环境中的安全性。
二、国际高铁照明与信号灯标准
国际上主要高铁标准制定机构包括国际铁路联盟(UIC)和欧洲标准化委员会(CEN)。UIC的标准覆盖铁路基础设施和列车安全性能,而CEN的铁路标准注重技术细节和设计规范,为全球高铁行业提供了广泛参考。
1. 国际铁路联盟(UIC)标准
UIC发布的标准主要涉及列车灯光的识别性、颜色和亮度,以确保在高速条件下灯光信号的清晰可见性。主要规定如下:
信号灯颜色:UIC标准中规定了信号灯的颜色,包括绿色(通行)、红色(禁止通行)、黄色(注意)等,以确保驾驶员能在不同光线条件下准确识别。
灯光强度与可见距离:UIC要求在不同天气、环境条件下,信号灯的亮度能够满足可视性需求,并在列车高速行驶的情况下不受周围环境光影响。
夜间与恶劣天气模式:针对夜间及大雾、降雨等特殊环境,UIC规定了信号灯的频闪模式和光束宽度,以提升在恶劣条件下的可见性。
2. 欧洲标准化委员会(CEN)标准
CEN发布的铁路技术标准对高铁车内和车外照明系统的设计和安全性能进行了详细规定。CEN标准的关键点包括:
车内照明:在乘客舱照明方面,CEN要求光源均匀分布,并能根据昼夜模式调节亮度,以适应长时间行驶的需求。
紧急照明与疏散指引:在列车紧急情况下,车内灯光应自动切换至疏散模式,提供清晰的指引方向。
高效节能:CEN鼓励采用LED照明技术,减少电力消耗,并延长照明系统的使用寿命。
三、中国高铁照明与信号灯标准
中国的高铁照明与信号灯标准在参考国际标准的基础上,结合了本土的运营需求和气候条件,制定了针对性更强的规范。中国国家铁路局发布了多项标准,确保高铁在各种运行条件下的安全性和舒适性。
TB/T 2917.1-2019《铁路客车及动车组照明 第1部分:通用要求》,该标准规定了铁路客车及动车组照明系统的通用技术要求。
TB/T 2917.2-2019《铁路客车及动车组照明 第2部分:车厢用灯》,该标准针对车厢照明灯的具体要求。
TB/T 2970-1999《铁路灯光信号机的一般要求》,该标准适用于铁路信号灯光的使用,涉及信号照明的基本要求。
TB/T 3414-2015《动车组应急照明》,该标准规定了动车组在紧急情况下的照明要求和标准。
TB/T 2325.1-2019 - 《机车车辆视听警示装置 第1部分:前照灯》,该标准适用于机车车辆前照灯的技术要求。
TB/T 2325.2-2019 - 《机车车辆视听警示装置 第2部分:辅助照明灯和标志灯》,涉及辅助照明灯及标志灯的具体标准。
四、现代高铁照明与信号灯技术发展趋势
随着LED技术的普及和智能控制系统的引入,现代高铁照明和信号系统逐渐向智能化、节能化方向发展。高铁照明系统逐步应用传感器技术,根据环境光线和列车运行状态自动调节亮度。例如:自适应照明系统:基于光线传感器的自适应照明系统在列车行驶过程中能够实时调节车内亮度,夜间和白天自动切换光线模式,以提高乘客的舒适感。智能化信号灯控制系统:通过中央控制系统,信号灯可以根据列车行驶状态动态调整亮度和频率,提升在复杂交通环境下的运行效率。同时,车内照明系统逐步采用多色LED灯光,利用不同颜色的光线营造更舒适的环境。例如,在夜间运行时灯光会转为柔和的蓝色,帮助乘客放松和休息。此外,LED的长寿命特性减少了列车的维护频次和成本,也更符合环保需求。
五、结论
中国高铁照明与信号灯标准在技术上紧跟国际步伐,同时根据国内高铁发展的实际需求进行了优化,为中国高铁的安全、高效和可持续运营提供了坚实保障。与国际标准的同步发展不仅表明中国高铁的技术成熟度不断提高,也为乘客提供了更舒适、更安全的乘车体验。
随着新一代照明和信号技术的发展,高铁照明与信号灯系统将更加智能化、环保化,为全球铁路交通提供更高效和安全的技术方案。未来的技术创新还将继续推动中国高铁标准的更新,使其在全球高铁领域发挥更加重要的作用。
商用飞机照明与信号灯标准
现代商用飞机的照明及信号系统在保障飞行安全和提升乘客体验中扮演着重要角色。照明及信号灯不仅为飞行员和地面人员提供视觉支持,也在飞机维护、紧急情况下的指引方面发挥关键作用。本文将介绍商用飞机照明及信号灯的国际与中国标准,以帮助读者了解这一航空领域的技术规范。

一、商用飞机照明及信号灯的作用
飞机照明系统可以分为内部和外部照明系统。内部照明系统包括机舱照明、阅读灯、紧急照明等,用于提供乘客舒适的环境和应急情况下的照明。外部照明系统则包括滑行灯、着陆灯、导航灯、闪光灯等,这些灯具主要用于地面操作和飞行中的识别和信号传递。
飞机上的信号灯(如导航灯和防撞灯)为飞机在空中和地面的可见性提供了保障。它们使得空中交通管制员、地面人员及其他飞机可以更清楚地识别飞行器的方位和移动状态,从而避免潜在的危险。
二、国际民用航空标准
在全球范围内,飞机照明系统的设计和安装遵循国际民用航空组织(ICAO)和国际航空航天标准(SAE)的相关标准。ICAO作为制定国际航空法规的机构,其《国际民用航空公约》附件中对飞机照明和信号灯的颜色、亮度、频率等方面有明确规定。另一方面,SAE(如SAE ARP5825、ARP5445等)提供了技术层面的具体指导,以确保飞机照明在各类运行环境中的有效性和一致性。
1. ICAO标准
ICAO对飞机外部照明的主要要求包括导航灯的颜色和放置、闪光灯的频率等。具体要求有:
导航灯:位于机翼尖端,左翼使用红色灯,右翼使用绿色灯,尾翼使用白色灯。通过这种配置,其他飞行器可以辨别飞机的飞行方向。
防撞灯:通常使用红色或白色闪光灯,位于机身或垂尾,用于提醒其他飞行器注意,防止空中碰撞。
着陆灯:在起飞、降落和滑行时提供辅助照明,确保飞行员清晰看到跑道和周围环境。
2. SAE标准
SAE航空标准(Aerospace Recommended Practice, ARP)具体规定了灯光的安装位置、强度、频率和能见度。以下是几个常见的SAE标准内容:
SAE ARP5825:详细描述了飞机防撞灯的技术要求,包括频率范围、光束宽度和颜色要求。
SAE ARP5445:定义了导航灯的性能规范,确保在各种气象条件下具有足够的亮度和可见距离。
三、中国商用飞机照明标准
在中国,航空工业的照明系统设计和测试也有一系列的行业标准,主要由中国民用航空局(CAAC)制定,符合国际标准的同时兼顾本地化需求。例如,《民用航空器适航标准》对照明设备的配置提出了详细要求。此外,中国航空标准还考虑了极端气候条件对灯光亮度、能见度的影响,为商用飞机的特殊运行环境提供了规范依据。
中国民航局(CAAC)标准
中国民用航空局颁布的标准一般参考ICAO和FAA的国际标准,同时结合了国内气候条件和空中交通的实际情况。例如:
CCAR-25-R4《运输类飞机适航标准》:规定了飞机防撞灯、导航灯、着陆灯的技术要求,确保飞机的视觉识别。
四、现代照明技术的发展趋势
随着LED技术和智能控制系统的发展,现代商用飞机的照明系统逐渐转向高效、节能的LED照明。LED灯具有寿命长、功耗低、亮度高等优点,不仅降低了维护成本,还可以减少能源消耗。近年来,自适应照明技术也逐步引入航空业,通过传感器和智能控制系统调节灯光亮度,以适应不同的飞行状态和环境光线。
同时,航空公司也在探索个性化的舱内照明设计,以提升乘客体验。例如,通过调节机舱灯光颜色和亮度,可以帮助乘客更好地适应时差,减少旅途疲劳感。此外,智能化的紧急照明系统可以在紧急情况下根据座位分布和逃生通道自动点亮指示灯,提高乘客的逃生效率。
五、结论
商用飞机的照明及信号系统标准在确保安全性、可靠性和环境适应性方面至关重要。中国的相关标准既参照了国际惯例,又结合了本地需求,为商用飞机的设计和运营提供了有力支持。随着新技术的不断发展,商用飞机照明系统将更加智能化、高效化,不仅提升飞行安全,还进一步改善乘客的飞行体验。通过对国际和中国商用飞机照明及信号灯标准的解读,我们可以看到航空安全与舒适性之间的平衡是航空业不断追求的目标。在未来的技术演变中,这些标准将继续得到完善,以更好地服务全球和中国航空市场。
光学膜产线测量应用
光学膜检测解决方案:L型导光条与光谱仪结合,实现精准均匀性控制

创新设计
在现代光学膜生产线上,确保产品质量的均匀性是关键。我们推出一款光学膜检测解决方案——L型导光条与光谱仪结合的检测系统。这一设计专为高效、精准地检测和控制光学膜的均匀性而打造,为您的生产线带来高效的检测能力。
设计优势
我们的L型导光条设计巧妙地集成了先进的光学技术,通过优化几何形状和光线传输路径,确保大面积光谱信号的有效收集与传输。结合高精度光谱仪,整个系统能够实时在线监测光学膜的光谱透过率,从而确保产品的高质量和一致性。
产品特点
1、高效光线收集:
L型导光条的输入端大面积覆盖光学膜,最大化收集透射光,确保全面准确的光谱数据。
2、卓越光线传输:
通过内表面抛光和镀膜处理,导光条内实现高效光线传输,减少光损失,确保光谱信号的强度和准确性。
3、精确光纤耦合:
设计有高效的光纤连接器,光线经过导光条后无缝耦合进入光纤,传输到光谱仪,保证检测数据的准确传递。
4、实时在线检测:
结合光谱仪,系统能够实现光学膜的实时在线光谱检测,及时发现和调整生产过程中的不均匀性问题。
应用场景
光学膜生产线:适用于LCD、OLED等显示器生产中的光学膜检测,确保产品的一致性和高质量。
工作原理
1、光线收集:背光模块发出的光线透过光学膜后,进入L型导光条的输入端。
2、光线传输:光线在导光条内经过多次全反射,传输到输出端。
3、光纤耦合:光线通过光纤连接器耦合进入光纤,传输到光谱仪。
4、光谱检测:光谱仪对传输来的光谱信号进行分析,实时监测光学膜的均匀性。

色度学基本概念
色度学(Chromatics)是一门研究颜色及其度量的科学,涉及颜色的量化和描述。通过色度学,可以准确地定义和传达颜色,确保不同设备和环境中的颜色一致性。本文将介绍色度学中的一些基本概念,包括色坐标、色温、显示指数、色容差、主波长和峰值波长。
1、色坐标(Chromaticity Coordinates)
色坐标是用于表示颜色的数值。常用的色坐标系统是CIE 1931色度图,定义了两个坐标(x, y)来表示颜色的色调和饱和度。通过色坐标,可以在二维平面上明确定位颜色,方便颜色的比较和转换。
2、色温(Color Temperature)
色温是用来描述光源颜色的参数,表示如果将一个理想的黑体加热到某一温度时,其所辐射的光与待测光源的光相匹配,这个温度称为该光源的色温。色温的单位是开尔文(Kelvin,K)。高色温(如5000K以上)通常显现出冷光(蓝白色),低色温(如3000K以下)则显现出暖光(黄红色)。
3、显示指数(Color Rendering Index, CRI)
显示指数是评价光源显色能力的指标,满分为100。CRI越高,光源显色能力越强,即能更真实地呈现物体的本色。高显色指数的光源通常用于要求色彩还原度高的场合,如美术馆、博物馆和印刷厂。
4、色容差(Color Tolerance)
色容差指的是允许的颜色偏差范围。色容差的定义和控制在工业和商业中非常重要,因为即使是微小的颜色差异也可能影响产品的外观和质量。色容差通常用颜色差值(如ΔE)来表示,ΔE值越小,表示颜色匹配度越高。
5、主波长(Dominant Wavelength)
主波长是指色光在色度图上的位置,代表该色光的主要颜色成分。通过确定光源的主波长,可以理解和描述其颜色特性。主波长对于光源和显示设备的设计和调校具有重要意义。
6、峰值波长(Peak Wavelength)
峰值波长是光源光谱中辐射强度最大的波长。在光谱图上,峰值波长对应的点是光谱曲线的最高点。峰值波长通常用来描述单色光或窄带光源的颜色特性。
结论
色度学提供了一套系统的方法来量化和描述颜色,通过理解色坐标、色温、显示指数、色容差、主波长和峰值波长等概念,我们可以更好地控制和应用颜色。这对于色彩管理、视觉艺术、照明设计以及各类需要精确颜色控制的行业都有着重要的应用价值。
光谱数据计算色度参数原理
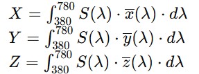
光谱数据提供了光源在不同波长上的光谱能量分布,通过这些数据可以计算出色坐标、色温(CCT)、显色指数(CRI)。这些参数对于照明设计、显示技术和颜色科学等领域至关重要。
1、色坐标计算
色坐标通常用CIE 1931 XYZ色彩空间表示,这是通过光谱数据转换得到的。XYZ色彩空间由以下公式定义:

其中:
- S(λ)是光源的光谱功率分布。
- x(λ)、y(λ) 和Z(λ)是CIE 1931色度匹配函数。
计算得到的X、Y、Z值可以转换为色度图上的色坐标(x, y):
![]()
2、色温(CCT)计算
色温表示光源光色与黑体辐射体光色相匹配的温度。计算色温通常采用McCamy经验公式:
![]()
其中:
![]()
(xe,ye) 是近似为 (0.3320, 0.1858) 的参考白点。
3、DUV计算
DUV表示光源在色域上的偏移量。计算公式如下:
![]()
4、显色指数(CRI)计算
显色指数(CRI)表示光源显现物体真实颜色的能力。计算CRI的步骤如下:
1. 选择参考光源:根据光源的CCT选择一个参考光源。
2. 计算测试色样的颜色值:计算8个标准测试色样(TCS)的XYZ值。
3. 计算色差:计算光源和参考光源照射下每个色样的色差。
4. 计算CRI:CRI是色差的平均值,表示为:
Ra=100−4.6⋅ΔEuv
其中,ΔEuv是色差。
结论
通过光谱数据可以精确计算出色坐标、色温、显色指数,这些参数在照明设计、显示技术和颜色科学等领域具有重要应用。理解这些计算原理和公式,有助于更好地分析和应用光谱数据,提升光源和显示设备的性能。
光度学基本概念
一、基本量值
1、光通量:光通量是光源在单位时间内发出的光量,也即为辐射通量(或辐射功率)能够被人眼视觉系统所感受的那部分有效当量。可以用来判断可见光谱范围内光谱效率所能引起的主观感觉的强弱。
单位:lm 符号表示:Φ
光通量
![]()
方程式中的Km代表最大光谱光视效能。明视觉条件下,光谱光视效率最大比值为1.0(光波长555nm)时的Km=683lm/W。另外Φe(λ)代表特定波长的辐射强度。V(λ)代表特定波长的光谱光视效率。

2、发光强度:光源在给定方向上的发光强度是该光源在该方向的立体角元dΩ内传输的光通量dΦ除以该立体角元之商(即Ι = dΦ/dΩ)。实际光源或灯具各方向的发光强度不同。为了描述其发光的空间分布特性,需要用发光强度分布曲线(又叫配光曲线)来表示。
单位:1cd=1lm/1sr 符号表示:I

立体角(Ω):用于表示空间范围的一个量,它是一个任意锥面所包围的空间。
立体角的大小是这样度量的,以锥面的顶点为球心,任意长度为半径作一球面,锥面将球面分成S1和S2两部分,它们分别对球心所张的立体角为D1和D2,其大小可以表示为:

立体角的单位叫球面度(sr),它是半径为1米的球面上,1平方米的球面对球心所张的立体角。因此,整个球面对球心所张的立体角为:

3、照度(illuminance):表面上一点的照度是入射在包含该点面元上的光通量dφ除以该面元面积dS之商(即:
单位为勒克斯(lx),1lx=1lm/m2)。
![]()
若光源照到某一表面的总光通量为φ,该表面面积为S,则该表面上的平均照度为E=φ/S。对于点光源,若在某一方向上的发光强度为I,那么在该方向上离开光源的距离为r处的照度E=I/r2。照度与离光源的距离平方成反比。当不是点光源的时候,此定律在距离大于光源尺寸10倍以上的时候成立。
4、光亮度L(luminance):面光源在给定方向上,单位正投影面积的发光强度。
公式:
![]()
单位:Sb(熙提)或nt(尼特)或cd/m2(坎德拉/平方米)
二、单位转换

积分球测量系统应用
光谱测量在现代光学研究和应用中占有重要地位,它能够提供有关光源的详细信息,如光谱分布、光通量、色品坐标等。为了实现高精度和全方位的光谱测量,积分球系统被广泛采用。
本文将介绍利用积分球系统进行光谱测量的基本原理、方法及其应用。
测量原理
积分球是一种用于测量光源发光特性的仪器,其内部涂有高反射率的漫反射材料,使入射光在球内进行多次漫反射,最终在球壁上形成均匀的光分布。通过在积分球上安装光谱探测器,可以测量被测光源的光谱分布及其他光学参数。
测量参数
采用国际先进的全光谱法,积分球系统能够测量多种关键的光学参数,包括:
光谱分布:光源在不同波长下的辐射强度。
光通量:单位时间内光源发出的总光量。
色品坐标:光源颜色在色度图上的坐标。
色温:光源颜色的温度表示。
显色指数(Ra、R1~R15):光源显色性能的指标,反映光源对不同颜色物体的显色能力。
Rf(Fidelity Index)和Rg(Gamut Index):评估光源颜色保真度和色域的指标。
色容差SDCM:色度空间中颜色容差的度量。
色偏差Duv:光源颜色与标准光源颜色的差异。
光效(流明效率):单位功率输出的光通量。
光功率(全辐射通量):光源发出的总辐射功率。
电流、电压、功率及功率因数:光源的电气参数。
测量标准
为了确保测量结果的准确性和一致性,积分球系统的测量过程需要满足多个国际标准和国家标准。这些标准包括:
CIE No.13.3:1995:光源显色性能的测量和规范方法。
CIE No.15:2004:色度学标准。
CIE No.63:1984:光源光谱辐射测量方法。
CIE No.84:1989:光通量的测量方法。
CIE No.177-2007:白色LED光源的显色性能。
IESNA LM-79-19:固态照明产品电气和光度测量方法。
IESNA TM-30-18:光源颜色还原性能评估方法。
应用领域
积分球系统在多个领域有广泛应用:
照明产品的质量控制:评估灯具和光源的光学性能,确保产品符合相关标准。
科研与开发:用于新型光源和材料的研究与开发。
色彩管理:在显示器、印刷和摄影等行业中,用于精确测量和校正色彩。
结论
利用积分球系统进行光谱测量是一种高效且精确的方法,能够满足CIE及国标对光和颜色测量的要求。它在光源测量、照明质量控制、科研开发等领域发挥着重要作用,为光学测量提供了强有力的技术支持。随着技术的进步和应用的拓展,积分球系统将在光谱测量中发挥更加重要的作用。
相关标准指引:
CIE No.13.3:1995 Method of Measuring and Specifying Colour Rendering Properties of Light Sources
CIE No.15: 2004 Colorimetry
CIE No.63:1984 The Spectroradiometric Measurement of Light Sources
CIE No.84:1989 The Measurement of Luminous Flux
CIE No.177-2007 Colour Rendering of White LED Light Sources
IESNA LM-79-19 IES Approved Method for the Electrical and Photometric Measurements of Solid-State Lighting Products
IESNA TM-30-18 Method for Evaluating Light Source Color Rendition
欢迎咨询:Sattva@ah-snchain.cn
♦ 紫外辐射通量测试应用
♦ 植物生长灯光色测量应用
♦ COB/LED集成排测机应用
♦ CCD光谱辐射分析仪应用
